Оценки диэлектрической проницаемости композита с включениями в виде эллипсоидов вращения
ISSN 1812-3368. Вестник МГТУ им. Н.Э. Баумана. Сер. Естественные науки. 2016. № 4
51
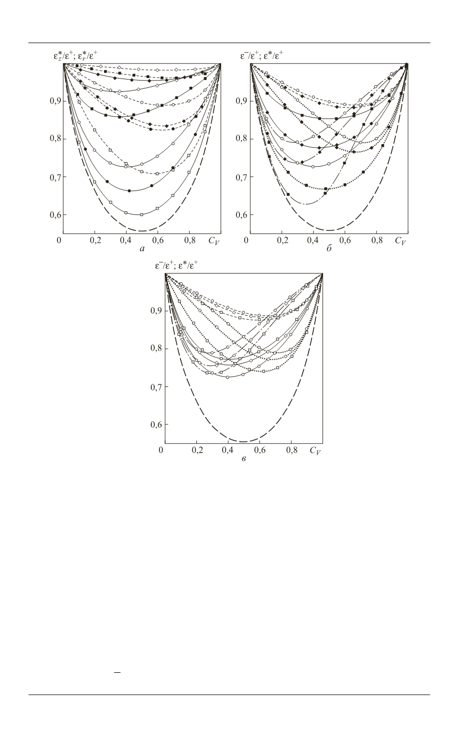
Рис. 2.
Сравнение оценок диэлектрической проницаемости композита
при упорядоченном расположении эллипсоидальных включений (
а
), при хаотическом
расположении эллипсоидальных включений с предельными (
б
) и промежуточными (
в
)
отношениями полуосей
Результаты расчетов для изотропного композита с вариантами формы
включений, промежуточными между предельными, представлены на рис. 2,
в
.
Для сравнения с использованием прежних обозначений приведены зависимо-
сти отношения
*
/
от объемной концентрации шаровых включений
.
V
C
От-
меченные выше закономерности в расположении кривых, построенных с
помощью метода самосогласования, сохраняются и для промежуточных форм
включений в виде сфероидов и удлиненных эллипсоидов, т. е. штрихпунктир-
ная и штриховая линии со светлыми кружками ограничивают сверху области
расположения кривых для таких включений. Штриховая линия со светлыми
кружками при
= 0, 2
для композита с шаровыми включениями является




