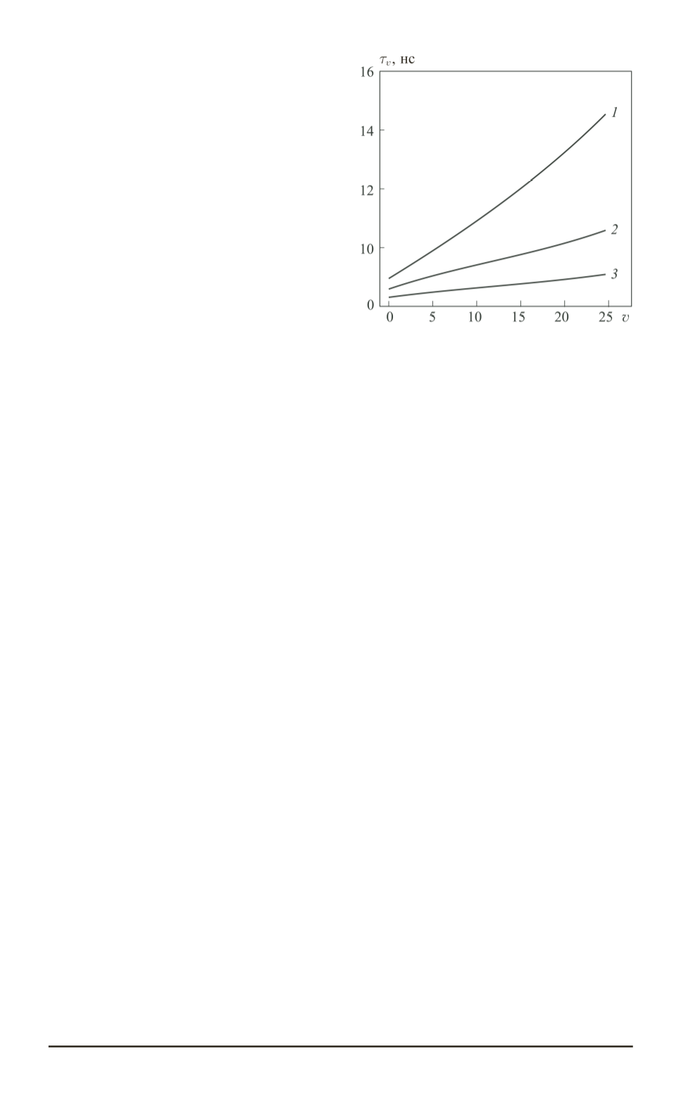
Рис. 2. Результаты расчета значе-
ний радиационного времени жиз-
ни для колебательных уровней
возбужденного электронного со-
стояния
(1)
2
Π
u
катионов димеров
лития (
1
), натрия (
2
) и калия (
3
)
катионами лития и натрия. Молекулярные постоянные катиона калия
K
+
2
имеют более низкие значения, чем у катионов Li
+
2
и Na
+
2
(см.
табл. 1). Поэтому влияние колебательных квантовых чисел на время
жизни катионов калия K
+
2
должно быть слабее, чем у катионов Li
+
2
и Na
+
2
. В работе [9] были рассчитаны значения времени жизни для
гетероядерных димеров щелочных металлов NaK, NaRb и NaCs. Вли-
яние колебательного квантового числа на время жизни более тяжелого
димера NaCs самое слабое, по сравнению с димерами NaK и NaRb.
ЛИТЕРАТУРА
1.
Ultracold
triplet molecules in the rovibrational ground state / F. Lang, K. Winkler,
C. Strauss, R. Grimm, J.K. Densсhlag // Phys. Rev. Lett. 2008. Vol. 101. P. 133005–
133009.
2.
Dark
resonances for ground state transfer of molecular quantum gases / M.J. Mark,
J.G. Danzl, E. Haller, M. Gustavsson, N. Bouloufa, O. Dulieu, H. Salami,
T. Bergeman, H. Ritsch, R. Hart, H.C. Nagerl // Appl. Phys. B. 2009. Vol. 95.
P. 219–225.
3.
Coherent
transfer of photoassociated molecules into the rovibrational ground state
/ K. Aikawa, D. Akamatsu, M. Hayashi, K. Oasa, J. Kobayashi, P. Naidon,
T. Kishimoto, M. Ueda, S. Inouye // Phys. Rev. Lett. 2010. Vol. 105. P. 203001–
203005.
4.
Смирнов А.Д.
Расчет радиационных параметров A
1
Σ
+
u
−
X
1
Σ
+
g
перехода димера
цезия // Журн. прикл. спектроскопии. 2010. Т. 77. № 5. С. 661–667.
5.
Смирнов А.Д.
Расчет спектроскопических постоянных и радиационных пара-
метров для электронных переходов A
1
Σ
+
u
−
X
1
Σ
+
g
и
B
1
Π
u
−
X
1
Σ
+
g
димера
натрия // Оптика и спектроскоп. 2010. Т. 109. № 5. С. 739–745.
6.
Смирнов А.Д.
Расчет спектроскопических постоянных и радиационных пара-
метров для электронных переходов A
1
Σ
+
u
−
X
1
Σ
+
g
и
B
1
Π
u
−
X
1
Σ
+
g
димера
лития // Оптика и спектроскоп. 2012. T. 113. № 4. С. 387–394.
7.
Смирнов А.Д.
Расчет радиационных параметров для электронных переходов
A
1
Σ
+
u
−
X
1
Σ
+
g
и
B
1
Π
u
−
X
1
Σ
+
g
димера калия // Вестник МГТУ им. Н.Э. Баумана.
Сер. Естественные науки. 2013. № 2 (49). С. 67–85.
8.
Смирнов А.Д
. Энергетические и радиационные свойства электронного перехода
B
1
Π
u
−
X
1
Σ
+
g
димеров цезия и рубидия // Инженерный журнал: наука и иннова-
ции. 2013. Вып. 6. URL:
http://engjournal.ru/catalog/fundamentals/physics/790.html(дата обращения: 10.11.2014).
ISSN 1812-3368. Вестник МГТУ им. Н.Э. Баумана. Сер. “Естественные науки”. 2015. № 4
53




