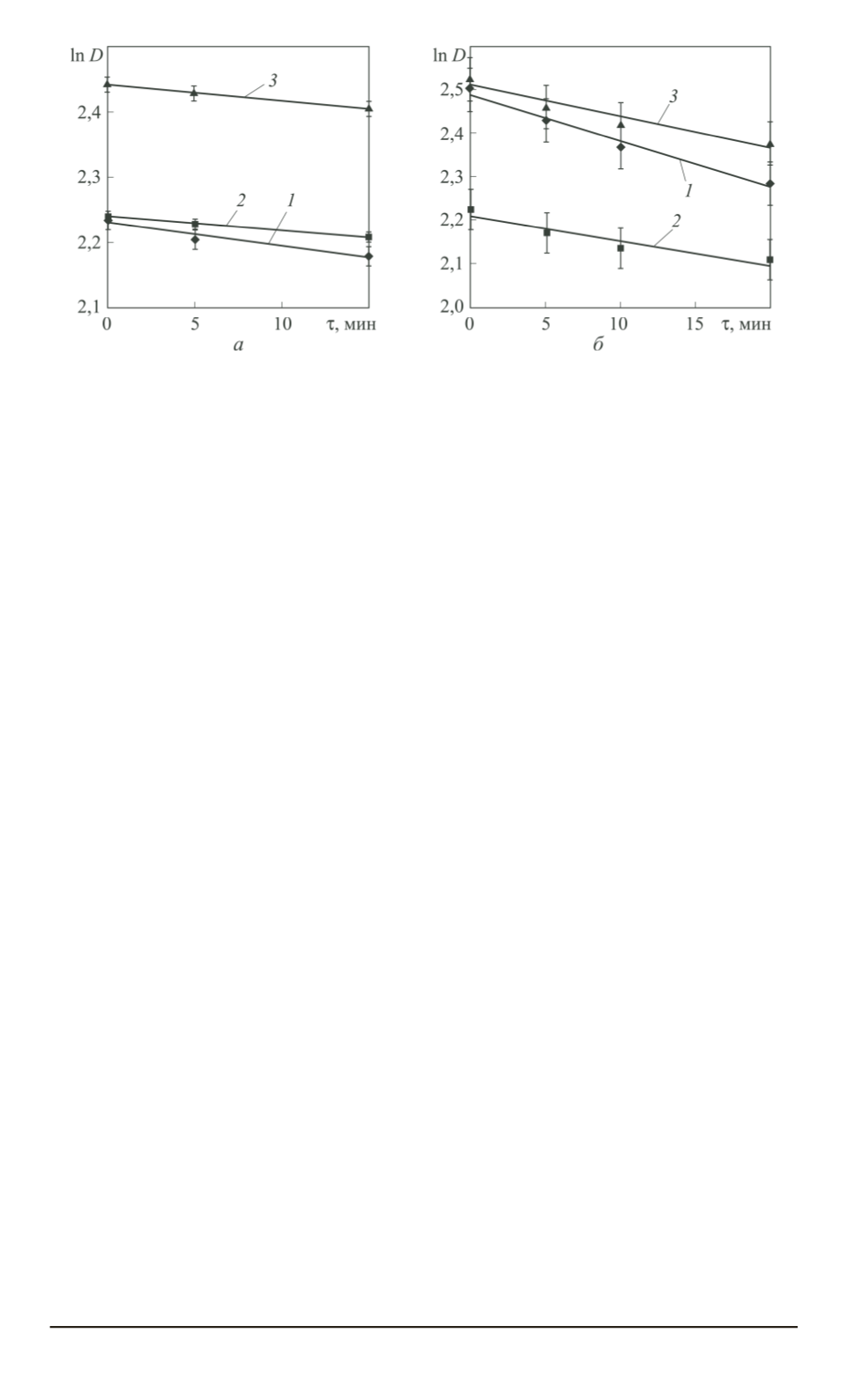
Рис. 3. Изменение оптической плотности раствора йодсодержащих клатратных
соединений при температуре 25 (
а
) и 35 (
б
)
◦
С:
1
— амилоиодин;
2
— амилопектоидин;
3
— система йод – крахмал
цепочка короткая, то цвет исчезает [16]. Изменение цвета клатрата в
зависимости от длины цепочки йода приведено ниже:
Степень полимеризации
n
в клатрате
[I
2
+ (C
6
H
10
O
5
)
n
]
. . . . . . . . . . . . . . . . . . . . Более 45 35. . . 40 Менее 12
Цвет клатрата . . . . . . . . . . . . . . . . . . . . . . . . . Синий Пурпурный Бесцветный
Число витков спирали амилозы . . . . . . . Более 6 4,5. . . 5,0 Менее 1,5. . . 2,0
Согласно представленным экспериментальным данным (рис. 3,
а
),
в случае длительного выдерживания раствора при температуре 25
◦
С
кинетика изменения состояний клатратных соединений амилоиодина
и амилопектоиодина одинакова. Однако при длительном нагреве рас-
твора до температуры 35
◦
С (рис. 3,
б
) и выше наблюдается различие
в результатах термического воздействия на каждую исследованную
клатратную структуру.
По кинетическому уравнению для реакции первого порядка были
рассчитаны константы скорости
k
1
= ln(
C
0
/C
)
τ,
где
C
0
, C
— начальная и текущая концентрации;
τ
— время.
Значения константы скорости
k
1
, с
−
1
, термического обесцвечивания
йодсодержащих клатратных соединений в зависимости от температуры
раствора
Температура,
◦
С . . . . . . . . . . . . . . . . . . . . . . . . . . . .
25
35
45
Амилоиодин . . . . . . . . . . . . . . . . . . . . . . . . . . . . . . . . 1,37
∙
10
−
3
1,67
∙
10
−
3
4,82
∙
10
−
2
Амилопектоиодин . . . . . . . . . . . . . . . . . . . . . . . . . . 1,16
∙
10
−
3
1,34
∙
10
−
3
0,65
∙
10
−
2
Йод – крахмал . . . . . . . . . . . . . . . . . . . . . . . . . . . . . . 1,53
∙
10
−
3
2,42
∙
10
−
3
0,84
∙
10
−
2
По формуле
E
=
RT
1
T
2
ln(
k
2
/k
1
)
/
(
T
2
−
T
1
)
, полученной на основе
уравнения Аррениуса, определены значения энергии активации ад-
ISSN 1812-3368. Вестник МГТУ им. Н.Э. Баумана. Сер. “Естественные науки”. 2015. № 2
129




