Схема Чуа и ее ближайшие аналоги: динамическая и топологическая двойственность - page 4

го резистора вида (рис. 3)
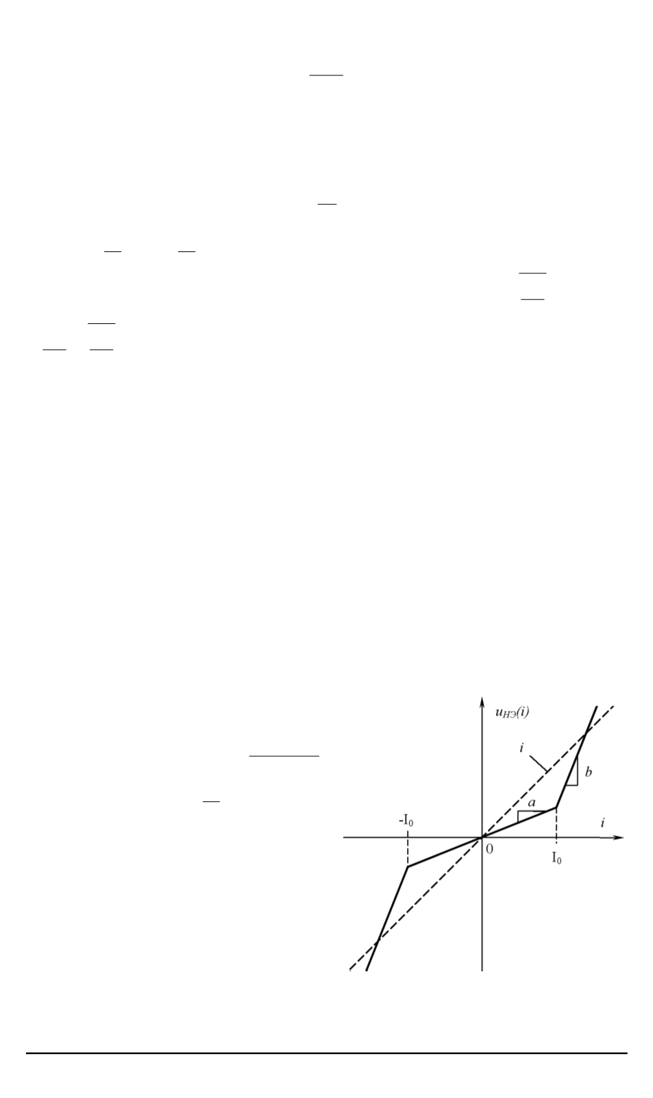
u
НЭ
(
i
) =
r
2
i
+
r
1
r
2
2
(
|
i
+
I
0
| |
iI
0
|
)
,
(4)
где
r
1
и
r
2
— дифференциальные сопротивления соответственно сред-
него и боковых участков вольтамперной характеристики, которая мо-
жет быть записана в виде
f
(
xy
) =
b
(
xy
) +
ab
2
(
|
xy
+ 1
| |
xy
1
|
)
,
(5)
где
a
=
r
1
R
,
b
=
r
2
R
, хаотические колебания в генераторе на рис. 1,
г
наблюдаются, в частности, при
a
1
,
b
1
,
R
r
C
L
2
0
,
35
,
R
L
2
L
1
r
C
L
2
0
,
7
. При этом
A
2
,
B
8
и старший характери-
стический показатель Ляпунова
λ
1
0
,
33
.
В общем случае соблюдение условия
a
1
,
b
1
необязательно.
Для существования хаотического аттрактора достаточно, чтобы пара-
метры вольтамперной характеристики нелинейного резистора удовле-
творяли неравенствам
a <
1
,
b >
1
, причем коэффициент
a
, а значит
и наклон среднего участка вольтамперной характеристики могут быть
как положительными, так и отрицательными. Например, нерегуляр-
ная динамика уравнений (3),(5) имеет место при
a
= 1
,
b
= 2
,
A
= 5
,
B
= 15
(
λ
1
0
,
42
) и при
a
= 0
,
7
,
b
= 1
,
2
,
A
= 7
,
B
= 14
(
λ
1
0
,
33
).
Пример практической реализации.
Практическая реализация
третьего аналога генератора Чуа может быть осуществлена с помо-
щью электрической схемы, показанной на рис. 4 [6]. Если в этой схеме
Рис. 3. Вольтамперная характеристи-
ка нелинейного резистора
все транзисторы идентичны, а их
базовые токи пренебрежимо малы
по сравнению с коллекторными то-
ками, то
R
R
1
;
r
1
2
R
2
R
3
R
2
+
R
3
;
r
2
2
R
3
;
I
0
I
2
2
. При этом
рабочие участки вольтамперных
характеристик резистора с отрица-
тельным сопротивлением и нели-
нейного резистора равны соответ-
ственно
I
1
и
I
1
+
I
0
. Поэтому ток
I
1
должен удовлетворять условию
I
1
I
0
.
Значения резистивных элемен-
тов в схеме генератора на рис. 4
ISSN 1812-3368. Вестник МГТУ им. Н.Э. Баумана. Сер. “Естественные науки”. 2006. № 2
111
1,2,3 5,6,7
Powered by FlippingBook