Воспламенение водородно-воздушной смеси вблизи нижнего концентрационного предела - page 12

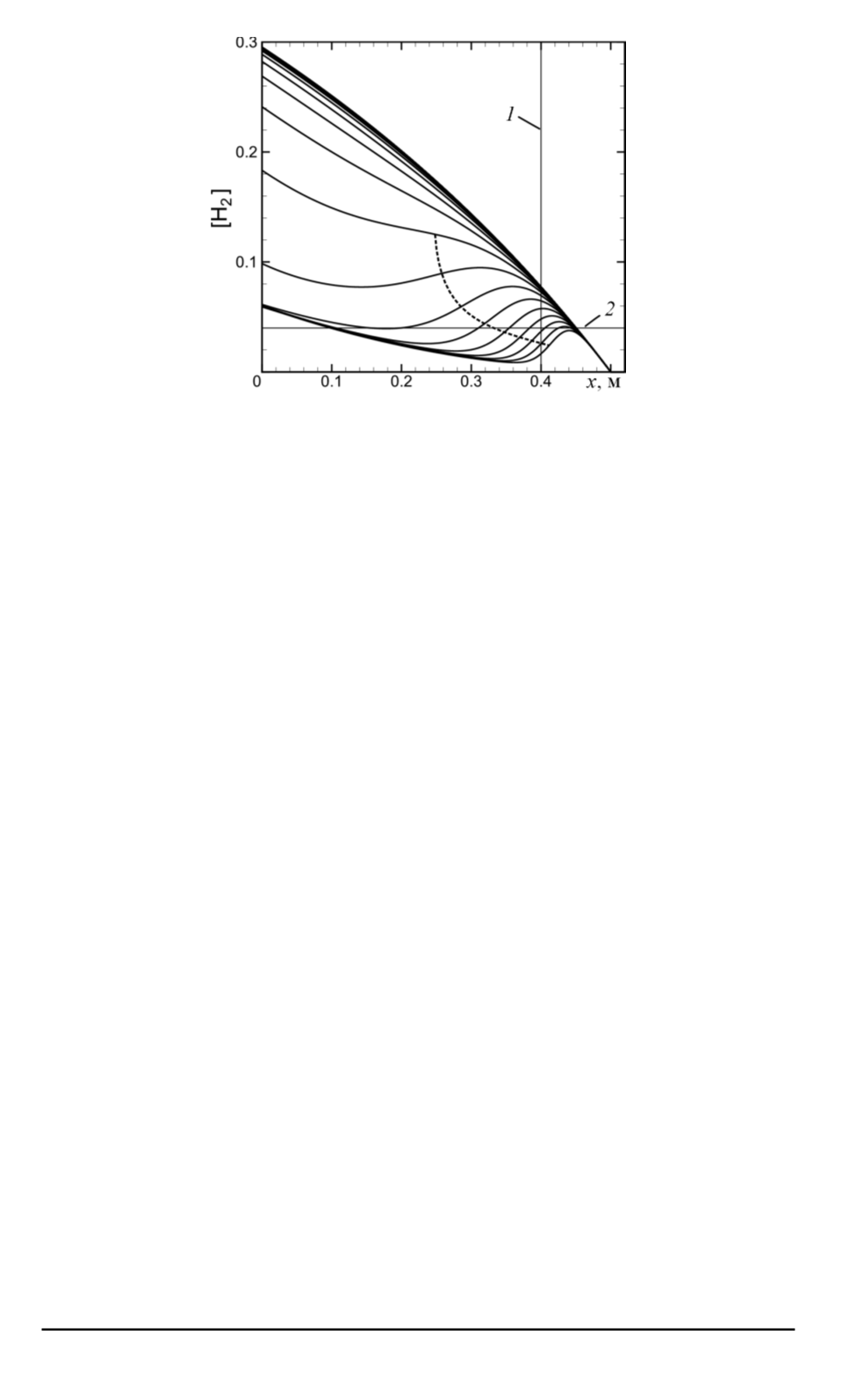
Рис. 3. Профили относительной концентрации водорода в разные моменты
времени (через каждые 2,5 мкс до 62,5 мкс):
1
— положение фронта в момент времени, выделенный на рис. 2 как предел
существования спонтанной волны реакции;
2
— концентрация водорода 4%;
штриховая линия — положение фронта спонтанной волны реакции в различные
моменты времени
температурной волны полностью определяется динамикой волны ре-
акции. Температурный фронт является следствием выделения энергии
в зоне реакции и непосредственно связан с ней. Режим
2
соответству-
ет перераспределению температуры и массы в пространстве за счет
теплопроводности и диффузии. Энерговыделение здесь имеет место
только в результате протекания обратных реакций в продуктах горе-
ния, возникших в объеме за фронтом спонтанной волны реакции. Со-
ответственно перемещение в пространстве границы раздела продуктов
горения и воздуха происходит за счет гидродинамического переноса
массы и определяет скорость фронта реакции. В этой области скорость
температурной волны становится больше скорости волны реакции, что
явно иллюстрирует смену ведущего механизма — кинетического спон-
танного механизма на диффузионный. В момент времени 0,12 мс в
воздух выходит сформированная ранее за фронтом спонтанной волны
волна сжатия, вовлекающая температурную и диффузионную волны в
поток за своим фронтом; на этой стадии наблюдается вновь синхро-
низация движения волн реакции и температуры.
Моменту времени 0,06 мс на рис. 2 соответствует точка 0,392 м на
рис. 3, которой в этот момент времени достигает фронт реакции (мак-
симум градиента концентрации в этот момент времени находится в
точке 0,4 м). На рис. 3 видно, что когда фронт реакции располагается
в окрестности точки 0,4 м (вертикальная тонкая линия), концентрация
перед фронтом в максимуме составляет величину, чуть превосходя-
щую 4%. Таким образом, сопоставляя ход процесса, представленный
100
ISSN 1812-3368. Вестник МГТУ им. Н.Э. Баумана. Сер. “Естественные науки”. 2013. № 1
1...,2,3,4,5,6,7,8,9,10,11 13,14,15,16,17,18,19,20
Powered by FlippingBook