Спектр и температурная характеристика поверхностной магнитостатической волны в монокристаллической ферритовой пленке - page 9

dH
ez
dT
=
=
[2
r
sin 2
δ
+ (4
r
) sin 4
δ
]
2
H
c
64
{
H
ez
+ 4
πM
0
+ 0
,
5
H
c
[
r
cos 2
δ
+ (4
r
) cos 4
δ
]
}
dH
c
dT
.
(9)
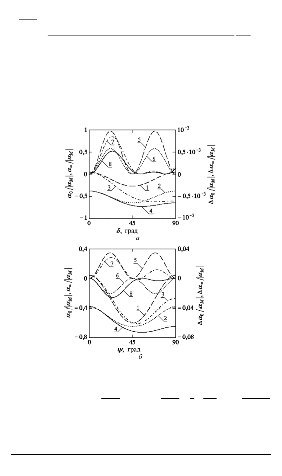
Выражение (9) необходимо использовать для подстановки при вы-
числении температурных производных граничных частот (2) и (3) в
случае, когда
ψ
= 0
. При этом угол
δ
, определяющий кристалло-
графическую ориентацию пленки, по-прежнему является переменным
параметром. На рис. 6,
а
приведены зависимости, позволяющие оце-
нить дополнительный вклад в ТКЧ, связанный с учетом производной
dH
ez
/
dT
.
Рис. 6. Нормированные значения ТКЧ
α
0
/
|
α
M
|
|
,
α
/
|
α
M
|
, рассчитанные с
учетом производных
dH
ez
/dT
(кривые
1–4
) и разности
Δ
α
0
/
|
α
M
|
,
Δ
α
/
|
α
M
|
точных и приближенных (рассчитанных без учета
dH
ez
/dT
и
dψ/dT
) значений
ТКЧ (кривые
5–8
) при
H
c
4
πM
0
=
0
,
025
;
H
ez
4
πM
0
=
1
3
;
dH
c
dT
=
0
,
1
d
(4
πM
0
)
dT
(параметр
|
α
M
|
принят таким же, как и для зависимостей, приведенных на
рис. 3):
а, б
— зависимости, позволяющие оценить дополнительный вклад в ТКЧ от
производной
dH
ez
/dT
и от производных
dψ/dT
и
dH
ez
/dT
,
1, 2, 5, 6
γ
= 0
;
3, 7,
4, 8
γ
= 1
ISSN 1812-3368. Вестник МГТУ им. Н.Э. Баумана. Сер. “Естественные науки”. 2013. № 3
47
1,2,3,4,5,6,7,8 10,11,12,13
Powered by FlippingBook