О механизмах ядерной реакции D–Т-синтеза - page 4

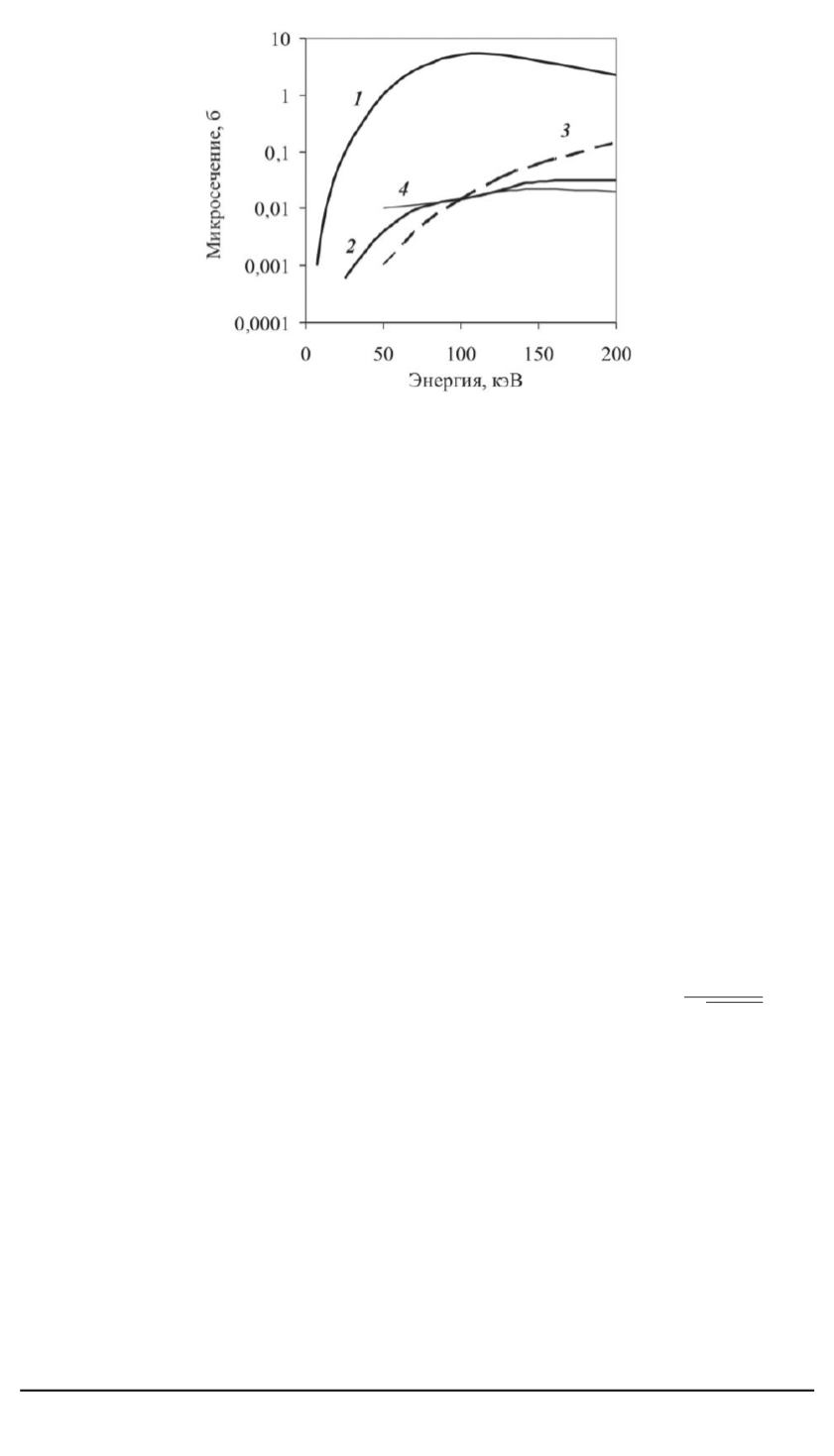
Рис. 1. Зависимость микросечений реакций синтеза легких ядер от энергии их
относительного сближения [11]:
1
D + T
4
He + n
;
2
D + D
3
He + n
;
3
D +
3
He
4
He + p
;
4
T + T
4
He + 2n
и переходят в ядро
4
Не. Протоны, входящие в ядра дейтерия и три-
тия, спариваются и образуют устойчивое соединение в составе нового
ядра
4
Не. Таким образом, реакция прямого взаимодействия в основ-
ном касается лишь двух протонов, первоначально находящихся в раз-
ных атомных ядрах. Но это лишь “в основном”. Спаренные нейтроны
трития так или иначе участвуют в ядерном притяжении протона, на-
ходящегося в ядре дейтерия, т.е., строго говоря, во взаимодействии
участвуют все нуклоны трития и протон дейтерия (половина нукло-
нов дейтерия). Таким образом, в прямом ядерном D–T-взаимодействии
есть своя специфика, а именно участие практически всех нуклонов,
входящих в состав сталкивающихся ядер.
При аномально высоких для установок синтеза энергиях
Е
, когда
дебройлевская длина волны
λ
дейтрона или тритона (
λ
h
2
mE
, где
m
— масса дейтрона или тритона (рис. 2)) меньше характерного раз-
мера ядра, микросечение реакции прямого ядерного взаимодействия
ядер дейтерия и трития можно оценить как
σ
π
(
R
2
D
+
R
2
T
)
, где
R
D
и
R
T
— радиусы ядер дейтерия и трития соответственно. Если в ка-
честве радиуса взять характерный размер ядер дейтерия (1,963 фм) и
трития (менее 1,9 фм), то максимальное сечение
σ
0
,
23
б, что замет-
но меньше характерных сечений D–T-реакции при энергиях порядка
100 кэВ (см. рис. 1). Известно, что сечение прямого взаимодействия
практически не зависит от кинетической энергии сталкивающихся ча-
стиц.
ISSN 1812-3368. Вестник МГТУ им. Н.Э. Баумана. Сер. “Естественные науки”. 2012. № 2
21
1,2,3 5,6,7,8,9,10,11
Powered by FlippingBook