Расчет радиационных параметров для электронных переходов A1S+ — X1S+ и B1Pu — X1S+ димера калия - page 11

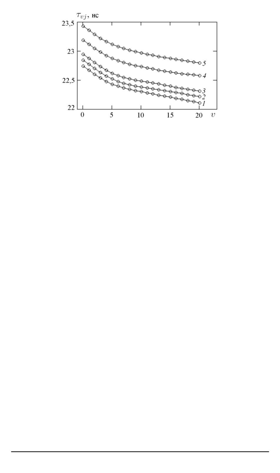
Рис. 4. Результаты расчета радиационных времен жизни колебательно-
вращательных уровненей
A
1
Σ
+
u
-состояния
39
K
2
:
j
= 0
(
1
);
j
= 30
(
2
);
j
= 50
(
3
);
j
= 80
(
4
);
j
= 100
(
5
)
0
v
00
40
) и
B
1
Π
u
X
1
Σ
+
g
(
0
v
0
20
,
j
0
= 0
,
43
,
59
,
61
,
80
,
100
;
0
v
00
25
), а также радиационные времена жизни возбужденных
состояний. Из-за громоздкости рассчитанных массивов радиационных
параметров приведена только часть полученных результатов. В табл. 5
представлены результаты расчета
A
v
0
,j
0
v
00
,j
00
,
(
f
v
0
,j
0
v
00
,j
00
)
погл
,
q
v
0
,j
0
v
00
,j
00
,
ν
v
0
,j
0
v
00
,j
для
вращательных линий R- и P-ветвей перехода
A
1
Σ
+
u
X
1
Σ
+
g
(
v
0
= 10
,
j
0
= 50
;
0
v
00
29
). В табл. 6 приведены результаты расчета ра-
диационных параметров для вращательных линий Q-ветви (
j
0
= 43
)
перехода
B
1
Π
u
X
1
Σ
+
g
молекулы K
2
. На рис. 4 и 5 приведены ре-
зультаты расчета времен жизни колебательно-вращательных уровней
A
1
Σ
+
u
и
B
1
Π
u
состояний.
Обсуждение результатов и заключение.
Адекватность построен-
ных потенциальных кривых для основного и возбужденных электрон-
ных состояний димера калия подтверждена хорошо согласующимися,
рассчитанными на их основе и экспериментальными молекулярны-
ми постоянными (см. табл. 4). Экспериментальные и теоретические
значения радиационных параметров для перехода
A
1
Σ
+
u
X
1
Σ
+
g
в ли-
тературе отсутствуют. Рассчитанные в данной работе радиационные
параметры представлены в табл. 5 и на рис. 4. Как видно из рисун-
ка, радиационные времена жизни
A
1
Σ
+
u
состояния слабо зависят как
от колебательного, так и вращательного квантового числа. При воз-
растании колебательного квантового числа от
v
= 0
до
v
= 20
время
жизни уменьшается на
0
,
6
нс (
3
%). При изменении вращательного
квантового числа от
j
= 0
до
j
= 100
время жизни уменьшается на
0
,
7
нс. В табл. 6 и на рис. 5 приведены радиационные параметры и
радиационные времена жизни возбужденного состояния для перехода
B
1
Π
u
X
1
Σ
+
g
, рассчитанные в данной работе. В работе [21] были из-
мерены волновые числа вращательных линий Q-ветвей (
v
0
= 8
,
11
,
18
;
ISSN 1812-3368. Вестник МГТУ им. Н.Э. Баумана. Сер. “Естественные науки”. 2013. № 2
77
1...,2,3,4,5,6,7,8,9,10 12,13,14,15,16,17,18,19
Powered by FlippingBook