Исследование устойчивости магических, околомагических и деформированных атомных ядер - page 5

тория, 20 — урана, 12 — нобелия, 20 — церия, 30 — диспрозия, 30 —
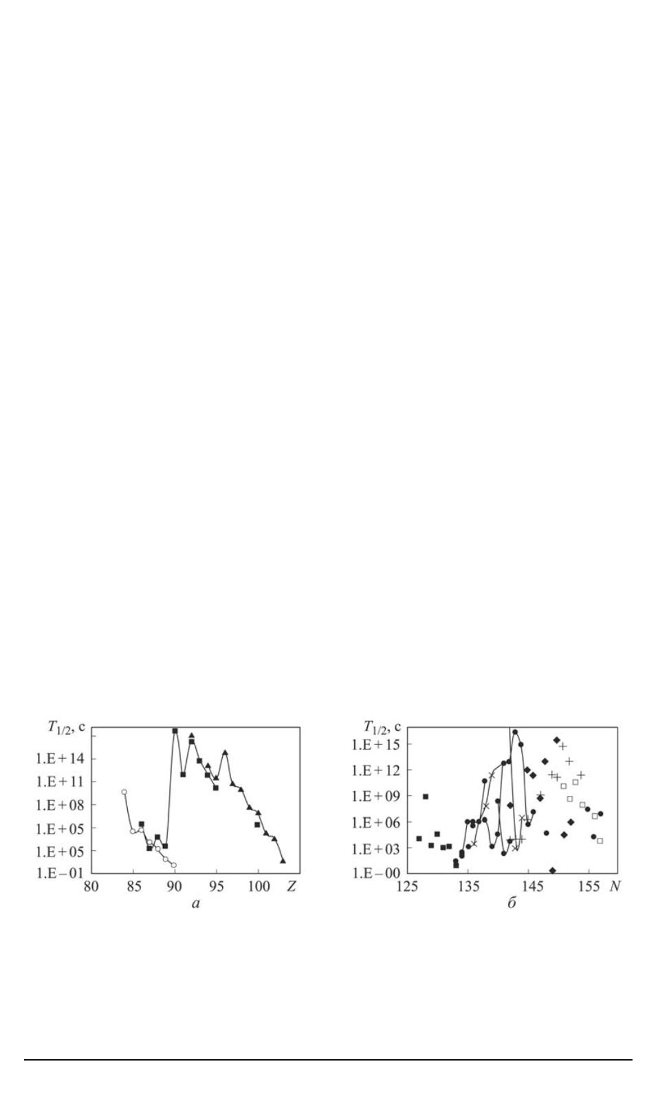
осмия, а в кривых зависимости периода полураспада
Т
1
/
2
от чисел
Z
и
N
в области актинидов наблюдаются максимумы при
Z
= 86
, 90,
92, 96 и
N
= 128
, 137, 142, 150, 151, 153 (рис. 1).
Микроскопическая модель ядра позволяет получить магические
числа
Z
= 114
и 120 [15, 19, 20]. Райдин подтверждает более ран-
ние предположения физиков о существовании заполненныхпротон-
ныхоболочек при
Z
= 108
. . .
110
и нейтронныхпри
N
162
и
172 [15]. Этим он объясняет возможное существование если не остро-
ва стабильности, то по крайней мере “отмели” (нуклиды, составля-
ющие ее, могут быть нестабильными, хотя и долгоживущими) в ко-
ординатах
N
Z
, образованной нуклидами с зарядом
Z
= 104
. . .
110
и
N
= 160
. . .
170
[15]. М. Гапта (M. Gupta) предполагает наличие
области стабильности вблизи элементов с
N
= 152
, 164, 172 [21]. Со-
гласно модели Лукаса, должна существовать “отмель” на диаграмме
N
Z
вблизи элементов с
Z
= 108
и
N
= 158
. . .
164
— часть острова
стабильности с центром около
Z
= 108
и
N
= 182
, “отмель” — при
Z
= 102
. . .
116
, и
N
= 172
. . .
184
[14–18].
Подобные исследования по поиску и обоснованию существования
дополнительныхмагическихчисел активно ведутся в последние де-
сятилетия. Однако ихрезультаты нельзя полагать общепризнанными.
Это замечание касается существования магического числа
Z
= 108
и
дважды магического элемента
270
108
Hs
162
[12], хотя элемент 108 изучен
в меньшей степени, чем актиноиды, и пока трудно подтвердить или
опровергнуть его дважды магичность.
В природной смеси изотопов одного и того же элемента наиболее
распространены дважды магические и магические нуклиды, но толь-
ко при условии оптимальности отношения
N/Z
. Как правило, дважды
магические (в меньшей степени магические) ядра имеют большое чи-
сло стабильныхили относительно долгоживущихизотопов. Так, со-
Рис. 1. Зависимость периода полураспада актинидов от числа протонов (
а
) и
числанейтронов (
б
) в ядре (по данным работ [7, 8]; линиями соединены груп-
пы нуклидов):
— околомагические (
N
= 125
) ядра, перегруженные протонами; — ядра с опти-
мальным отношением
N/Z
; — сильнодеформированные ядра, перегруженные ней-
тронами; — изотопы плутония; + — изотопы кюрия; — изотопы калифорния;
прочие нуклиды
38
ISSN 1812-3368. Вестник МГТУ им. Н.Э. Баумана. Сер. “Естественные науки”. 2013. № 4
1,2,3,4 6,7,8,9,10,11,12,13,14,15,...22