Механизм свечения и электризации жидкостей при течении в узких каналах - page 7

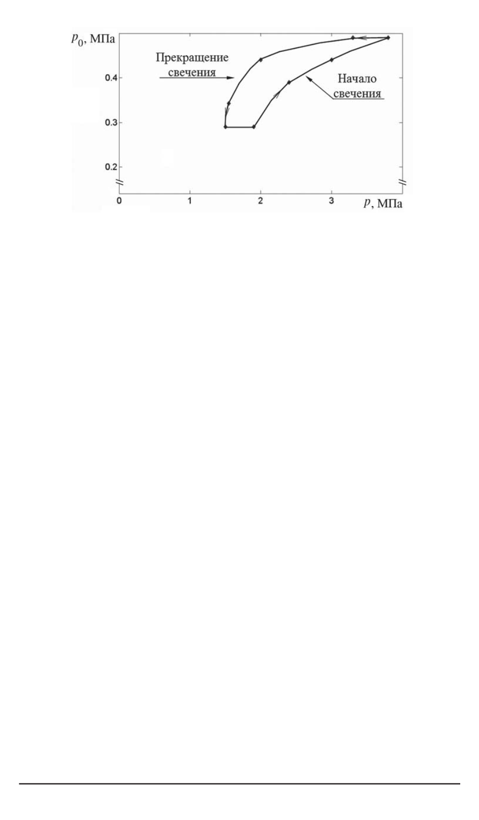
Рис. 4. Гистерезис свечения ГЛ (начало и прекращение эмиссии света соответ-
ствует различным давлениям в системе)
тем, что в процессе перекачки масла образовавшиеся в результате ка-
витации микропузырьки, которые являются зародышами кавитации,
не успевают полностью удаляться изсистемы. Масло, содержащее
большое число достаточно устойчивых микропузырьков, естественно
характеризуется меньшей кавитационной прочностью. При циркуля-
ции масла в результате его попадания на входное сечение проходного
отверстия возникает гидродинамическая кавитация при меньших рас-
тягивающих напряжениях.
При движении жидкости с большой скоростью черезвпускную
камеру перед входным сечением проходного отверстия дросселиру-
ющего устройства в соответствии с уравнением Бернулли происхо-
дит локальное понижение давления, осуществляется отрыв потока [9]
от входной кромки проходного отверстия и под некоторым углом к
проходному отверстию возникает поверхность раздела и так называ-
емая присоединенная кавитация. Твердая поверхность, ограничиваю-
щая поток, хорошо смачивается жидкостью, надежно удерживает ми-
кропузырьки в начальной зоне кавитации непосредственно на поверх-
ности и обеспечивает их постепенный рост до критического размера.
После этого они отрываются от поверхности и уносятся потоком жид-
кости. Проведенные эксперименты показали, что по мере повышения
температуры до 30. . . 35
С или при повышении давления в приемной
камере (давления подпора) поток ГЛ, как и следовало ожидать, умень-
шался. При 50
С зарегистрировать свечение не удалось. Это показы-
вает, что многие закономерности, характерные для исследуемых про-
цессов, во многом аналогичны соответствующим зависимостям для
сонолюминесценции [1].
Электрические импульсы возникают уже при сравнительно неболь-
ших скоростях течения жидкости, при которых заведомо отсутствует
ГЛ. По мере увеличения расхода масла амплитуда и частота сигнала
70
ISSN 1812-3368. Вестник МГТУ им. Н.Э. Баумана. Сер. “Естественные науки”. 2010. № 1
1,2,3,4,5,6 8,9,10,11,12,13,14,15,16
Powered by FlippingBook